火烧云定量预报速成(长三角适用)
首次发布于:2022年11月12日 最新修改日期:2025年4月1日
目录
- 第一章节:大气科学常识、几何知识、光谱消光等
- 第二、三章节: 云、气象观测知识、数据来源等
- 第四章节:预报实战案例
序言
WARNING:这不是一份完全通俗易懂的材料,写得也比较意识流,有可能看不下去。
前置基础知识:
- 高二数学知识,比如:知道什么是弧度制的角度、所有基本初等函数的图像以及性质。
- 一些高中地理常识,比如知道云雨的形成基本原理、知道怎么计算世界时和地方时的转换等。
- 一些高中物理学知识,比如知道什么是做功、什么是动能和动量、理想气体状态方程等。
- 最好是气象爱好者。
- 你可能需要常备一个科学计算器,比如CASIO fx-991这种。
人工搞火烧云预报似乎是一件有点奇怪的事情,反正市面上已经存在商业化产品了对吧。但人工预报的意义在于让我们能对即将到来的火烧云有一些更加全面的认识。我们不仅需要知道火烧云的概率和质量,也需要知道火烧云会以什么样的方式呈现在我们眼前:火烧云的持续时间有多久?火烧云什么时候开始什么时候结束?火烧云会出现在哪一片天空?火烧云的颜色是怎样的?伴随火烧云的还有哪些气象景观?当然还有一个最重要的:火烧云预报为什么翻车了?想要更进一步地了解这些问题,我们需要知道一些知识。
这份资料记录了一些关于火烧云和相关天象预测的知识,主要内容是一些气象学常识、云微物理知识、天象常识,以及专门和火烧云有关的数学公式(简单的九年义务教育数学)。在读完了这份资料后,我们的期望是:读者知道火烧云和部分气象景观形成的原理,并且具备了根据数值模式和实况产品来预测火烧云以及伴随火烧云的其他气象景观的能力,并且能对数值预报给出的结果给出一点点人工订正意见。这里只是介绍一些简单的东西,具体实际操作中还是需要经验积累,但至少看完了你知道应该怎么去做或者上哪查资料。
为什么说是长三角适用呢,因为这里面有些东西是经验性的总结,可能只在上海附近的地区管用,在其他的气候区就不可靠了。我也不知道是不是一定可靠,自己看着办把。
~~我个人比较希望大家看完了以后,遇到火烧云预测的翻车情况,不要再简单归因于“云层太厚”、“雾霾太重”这种原因,要专业一点,比如能说出“云边界比预期的远”、“云幡太多导致云底高度比预期的低”、“云层下方出现未被正确估计的中低云遮挡”、“光线上游大气中层大气气溶胶消光系数比预计的高”或者“本地大气气溶胶光学厚度太大”这种理由。~~
另外,这里面用到的图除非说明了出处,否则都是我画的或者拍的。
第1章 必要的基本理论知识
这一章节主要介绍理论知识,包括气象学常识、云物理学常识、火烧云的几何模型、大气消光以及气象图表等。
1.1 一些气象学常识
首先要正确理解大气是怎么样、云是怎么样的,要知道一些专业名词的气象学常识,而且要对大气中的各种东西有一个大概的概念,否则往后了可能都不知道这篇文章里在说什么。
1.1.1 大气层概述
大气结构
首先我们知道地球有一层不是很厚的大气层,海平面标准气压仅为101325Pa。大气层可以按照高度分为对流层、平流层、中间层、电离层。所有的天气活动都发生在对流层。对流层的高度可以在8km~18km之间变化,天气热的地方对流层厚。上海这里对流层顶一般在16km~17km,冬季强冷空气南下的时候可能出现双重对流层顶,低的只有8km。
在对流层内,气温一般随着高度下降,平均高度每上升1km,气温下降6.5℃。在某些情况下,对流层内有一些区域的气温会随着高度增加而上升,这种结构叫做逆温层。逆温的存在会抑制对流。
在气象学上,为了处理各种气象方程方便考虑,常常会用气压代替几何高度或者位势高度来描述高度。最常用的气压单位是百帕(hPa),且1hPa=100Pa。我们给出粗略的气压对应的高度表格:
| 气压(hPa) | 海拔高度(m) |
|---|---|
| 1000 | 0 |
| 925 | 750 |
| 850 | 1500 |
| 700 | 3000 |
| 600 | 4200 |
| 500 | 5500 |
| 400 | 7200 |
| 300 | 9200 |
| 200 | 11700 |
| 100 | 16100 |
表 1.1 压高关系表(粗略)
大气组分
干燥洁净的大气中主要气体成分(体积比)是:氮气(78%)、氧气(略小于21%)、氩气(略小于1%)、二氧化碳(目前全球平均0.04%,以前的教科书上是0.03%,但2015年以后已经上升到0.04%了)等。大气成分在90km以下的分布是几乎均匀的。大气层中,臭氧主要分布在10km~50km的大气中,尤其是平流层低层的20km~25km高度,地面附近的臭氧算污染物。
如果不是干燥的大气,那么大气中还含有水蒸气。水蒸气主要集中在对流层,尤其是对流层低层。地面附近水蒸气体积含量最大可以到4%左右,这是因为地面附近大气温度比较高,高温的空气相对于低温的空气能够容纳更多的水蒸气。
想要描述大气中的含水量,有很多描述的方式:
- 比湿:物理意义为每千克的湿空气中含有多少克的水,单位为g/kg,反映的是大气中水蒸气的成分比例。
- 水汽压:指的是大气中水蒸气的分压,数字上等于大气压强乘水蒸气在大气中的体积占比,单位为hPa。
- 相对湿度:指的是尚未水汽饱和的大气中的比湿/水汽压和在当前温度和压强下水汽饱和时的大气中的比湿/水汽压的比值,单位为%(也就是没有单位),反映的是大气的湿度距离水汽饱和的程度。
- 露点温度:露点温度代表的是大气温度(在等压情况下)不断下降,直到使水汽凝露时的温度。我们都有这样的经验,把东西从冰箱里拿出来外面会结一层水珠。但如果空气太干燥了,或者温度不够低的话,也可能不结水珠。实际上结不结水珠,取决于物体温度有没有低于环境大气的露点温度。只有当物体表面温度低于环境的露点温度,那么空气中的水汽才会凝结。一般来说,露点温度是低于环境气温的,这意味着环境的空气需要经历降温才能使水汽凝结出来。但如果露点温度等于气温,意味着大气温度不需要下降水汽就已经凝露了,意味着空气是水汽饱和的;反过来说,如果露点温度和气温的差距很大,意味着大气温度需要下降很多水汽才能凝露了,意味着空气干燥。
这些物理量之间的关系还挺烦人的。最需要记得的有:比湿、水汽压、露点温度代表了大气中“绝对”的湿度,而相对湿度只是衡量了大气距离水汽饱和的程度;以及在大气比湿(水汽的比例/大气成分)相同的情况下,气压越低,露点温度越低,也就是说低压强的空气能更好地容纳水蒸气。
考虑污染物,大气中还会含有二氧化硫、一氧化碳、二氧化氮、臭氧等污染气体,以及悬浮在大气中的微小颗粒物,也就是气溶胶。气溶胶一般分布在地面附近,且平均而言浓度随着高度指数下降。这些颗粒物的存在会降低大气通透程度,让天空颜色变得不蓝,从而出现霾。
1.1.2 云的概述
首先要明确,云是一种大气水凝物,是由悬浮在空气中的小水滴或者小冰晶组成的,不过有时候水凝物可能直径有十几厘米,比如冰雹。干燥的悬浮颗粒(比如烟灰或者沙尘)不能算云,要含有固态或液态水才算。很多人觉得云是由水蒸气构成的,但不是这样的。水蒸气是透明的,不能直接看见水蒸气。但水蒸气凝结出水滴或者冰晶以后,你就能看见水滴和冰晶了。
如果根据云的形态分类云,那么可以分类为10属31种云。我们不需要知道种,知道属就可以了。大致分类见表1.2。
| 云族 | 云属 |
|---|---|
| 低云 2500m 以下 | 层云,层积云,积云,积雨云 |
| 中云 2500m - 7000m | 雨层云,高层云,高积云 |
| 高云 6000m 以上 | 卷层云,卷积云,卷云 |
表 1.2 云分类表
如果想要详细了解,可以直接去看2017版本的国际云图。我们这里不需要详细了解。
Home | International Cloud Atlas (wmo.int)
按照云形成过程的特点,可以把云分类为:层状云、对流云、波状云。
- 层状云:包含雨层云、高层云、卷层云、卷云。这些云覆盖面积巨大(几十万上百万平方公里),水平范围远大于垂直范围,云内上升气流弱,多数是由于大规模的天气系统导致的缓慢的抬升运动形成的,云内部大气一般比较稳定,且云寿命相对较长(几天);
- 积状云:包含积云与积雨云。这些云水平范围与垂直范围相当,云内上升气流强,是由于对流导致的抬升运动形成的,云内部大气一般不稳定,且云寿命相对较短(几小时);
- 波状云:包含卷积云、高积云、层积云、层云。这里的波状云不是undulatus,指的是更广义的概念,是由于大气的不规则扰动形成的云,这些云也是水平范围远大于垂直范围的,而且比层状云薄。
云内的水滴和冰晶需要凝结/凝华/冻结核才能形成。凝结核指的是让水汽凝结的核,冻结核指的是帮助液态水冻结的颗粒,凝华核指的是帮助气态水凝华的核。冻结核和凝华核统称为成冰核。这些核有些是可溶的盐类,有些是不可溶的矿物晶体。一般凝结核都非常小,直径只有0.1um,相对于云内小水滴(也称为云滴)典型直径为20um来说是非常小的。典型雨滴直径为1mm,相对于云滴来说也差了2个数量级。
云水到底是固态水还是液态水和云的温度有关系。根据云的温度,我们把云分成3个种类:暖云、冷云和混合云。
- 暖云:云体全部部分温度高于0℃的云;
- 冷云:云体全部部分温度低于0℃的云;
- 混合云:云体部分温度高于0℃,部分温度低于0℃的云。
但云内的粒子到底是液态还是固态,和冷云暖云混合云的分类是不完全一致的。实际上,即使云的温度低于0℃,云中也可以含有液态水。这种温度低于0℃却以液态存在的水被称为过冷水。过冷水大量存在于实际的云中,而且他们的存在为云发生降水做出了巨大贡献。当云内水滴温度低于-38摄氏度的时候,过冷水会自发冻结为冰晶。在0℃~-35℃的范围内,过冷水多数不会自发冻结,需要外界的帮助才能冻结成冰晶,比如遇到合适的成冰核或者冰晶。
对于由冰晶组成的云来说,冰晶的形状和云的温度与湿度很有关系。粗略地看,云内冰晶的形状与云的温度和湿度的关系可以见图1.1。一个明显的趋势是:在相对湿度比较低的时候,冰晶形状简单,反之则形状复杂。而随着温度发生变化,冰晶的形状也会变化,当水汽过饱和度不太低的时候:在-4℃\~0℃范围内,冰晶形状为片状晶体;而在-12℃\~-4℃范围内,冰晶为柱状晶体;在-40℃\~-12℃范围内,冰晶又回到了片状;而温度低于-40℃后,冰晶又会变成柱状。 其中-40℃的界限是模糊的,冰晶的形状变化也是连续的。

图 1.1 冰晶形状与湿度、温度的关系,来自于 Mitchell, David & Mishra, Subhashree & Lawson, Paul. (2011). Cirrus Clouds and Climate Engineering: New Findings on Ice Nucleation and Theoretical Basis.
什么是片状或者柱状冰晶呢?我们都知道,形状简单的冰晶是六棱柱形状的。如果一个六棱柱冰晶的底面直径大于上下底面之间的距离,那么冰晶就称为片状的;反之则是柱状的,如图1.2。

图 1.2 片状冰晶和柱状冰晶
1.1.3 云的产生方式
云的形成方式在小学的科学课上就讲过,当空气不断冷却,直到空气不能再容纳水汽的时候,水汽在凝结核或者凝华核上凝结或者凝华,形成了云。这里有三个要点:水汽、冷却过程、凝结/凝华/冻结核。
凝结/凝华/冻结核
空气中水汽过饱和了以后,需要有东西附着才能变成水滴或者冰晶。空气中的水汽不能自己直接变成水滴或者冰晶,因为这需要的水汽过饱和程度极高,大气中不存在这样的条件。
作为液态水的凝结核,要求凝结核有吸湿性或者亲水性,多数是可溶性盐颗粒,而且盐颗粒还不能太小。这些吸湿性的凝结核在空气中水汽还没饱和的时候就已经开始吸水体积增大了,但增长幅度很有限,到了空气略微过饱和以后才会活化为云滴,从而形成肉眼明显可见的云。只有部分气溶胶颗粒能作为凝结核。
凝华核在某一个临界温度下,当空气足够潮湿的时候,也可以让水汽直接凝华为冰晶。
在水滴不能自发冻结的温度(-35℃~0℃)下,一些冻结核或者其他冰晶可以帮助水滴冻结。大气中只有很小一部分气溶胶颗粒能够称为成冰核。不同的成冰核的成冰能力不一样,有的可能在零下十几度就能帮助过冷水冻结,有些可能需要到零下二十几度才行。粗略计算,一般温度每下降4度,能够起作用的成冰核浓度提高10倍。如果过冷水云温度太高,其中基本不会含有冰晶:如果过冷水云云顶温度高于-10℃,则云中冰晶浓度很少,一般不会高于1个每升空气。
凝结核和成冰核对颗粒物特性的要求是很不一样的,而且大气的冻结核浓度相对凝结核太少了,绝大多数凝结核在-20℃~0℃时凝结形成了过冷水滴后是没法帮助水滴自己冻结的,所以大气中存在大量的过冷水。
空气的冷却过程
空气冷却的方式有不止一种,但一般而言是靠空气的抬升运动发生降温。在空气上升的过程中,由于气压降低,气体本身会膨胀,而在周围有大气压强的情况下,空气体积膨胀会对外做功,导致空气的内能下降。注意,空气上升的过程中发生的降温并不是因为空气遇到了周围的冷空气,而是因为空气膨胀导致发自内心的降温。
在空气上升膨胀的过程中,温度会随之下降。假设空气在上述过程中和外界没有热交换和空气的混合,而且空气中没有水汽凝结出来,那么空气的温度随着高度上升而下降的速率被称为干绝热温度直减率(Adiabatic Lapse Rate),单位为℃/km,这个过程也叫作干绝热过程。在海平面高度附近,干绝热温度直减率为-9.8℃/km。注意,干绝热温度直减率不是常数,这个数字只是海平面高度附近的,不过近地面3-4km都可以用。
与干绝热温度直减率相对的另一个概念是湿绝热温度直减率(Diabatic Lapse Rate),以及湿绝热过程。假设空气在上述过程中和外界没有热交换,也没有空气的混合,但空气已经水汽饱和了,那么多余的水汽就会在空气进一步降温的过程中凝结出来。水汽的凝结会释放热量,使得空气的温度随高度上升而下降得没有那么快,因此湿绝热温度直减率的绝对值会比干绝热温度直减率的绝对值小。在大气水汽含量比较高的情况下,因为凝结出的水比较多,释放的热量也多,所以湿绝热温度直减率的绝对值会比较小,反之亦然。
如果我们让某一团不饱和湿空气从地面附近开始不断抬升,那么它的温度变化会经历三个阶段:
- 空气尚未水汽饱和。这时候,空气上升过程中温度的变化会按照干绝热温度直减率来。此时,空气高度每上升1km,温度下降9.8℃。随着空气温度快速下降,空气很快就会饱和。
- 从某个时刻开始,空气水汽饱和,水开始凝结出来。此时,空气上升过程中温度的变化会按照湿绝热温度直减率来。空气高度每上升1km,温度下降将会小于9.8℃,这个过程会伴随着云的形成。1~2的过程如图1.3所示。图中右侧紫色虚线代表气团内的温度

图 1.3 云的形成过程
- 气团上升了很长的距离后,空气还是水汽饱和,但是气温非常低,水汽几乎耗尽。此时,空气上升过程中温度的变化还是会按照湿绝热温度直减率来,但是由于水汽耗尽,湿绝热温度直减率基本等于干绝热温度直减率,基本与干绝热过程没有差异。这个过程一般出现在积雨云发展到对流层顶附近时。
空气冷却的方式除了抬升以外,也可以依靠和冷的物体接触降温,这种情况形成的一般是平流雾。此外在云形成以后,云本身也会发射出红外辐射降温,这对于已经形成的层状云的发展有明显的影响。还有些混合降温、湍流降温、蒸发/升华/熔化降温等等。
~~1.1.4 贝吉龙-芬迪生过程(可以忽略)~~
~~这个过程是这样描述的(抄的百度百科):~~
~~当气温低于0℃的时候,如果云内有过冷水和冰晶共存,由于冰面的饱和水汽压低,而水面的饱和水汽压高,因此当云中的水汽压处于冰面和水面饱和值之间时,水汽在冰晶上凝华而使冰晶长大,而水滴会不断蒸发变小或消失~~~~。~~
~~
~~
~~图1.4 贝吉龙-芬迪生过程~~
~~从物理意义上来说,这是因为冰晶内部的水分子被限制在晶格内,比较不活跃,不容易跑出去,而过冷水的水分子则比较自由和活跃,容易脱离液滴变成气体。所以在相同温度下,过冷水水滴的水分子更容易脱离,然后凝华到冰晶上。~~
~~一般来说,过冷水云里冰晶的数量比水滴要少得多,所以每个冰晶都会吸收大量小水滴的水分,使得冰晶长得很大,体积和质量相对于水滴大得多,下落速度也快得多,从而让云中的水落下来,形成降水~~~~。这就是一种混合云的降水机制,也是为什么说过冷水的存在为云发生降水做出了巨大贡献。~~
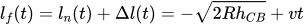
1.2 火烧云的几何模型
1.2.1 典型火烧云的静态几何模型
我们在小学科普读物里可以了解到,在较低的太阳角度下,阳光可以透过很厚的大气发生散射,散射掉了波长短的蓝色光,于是剩下了波长较长的红色光,照射到云层上形成了火烧云。我们在这里认为,火烧云就是被低角度的阳光照亮从而呈现出鲜艳颜色的云。
对于较为常见的层状云(也就是水平延伸范围远大于厚度的云)来说,阳光需要从云的底部照射上来才能穿过足够厚的大气层,使得颜色变得较鲜艳。虽然火烧云的形成方式是多样化的,但这种层状云火烧云的情况是(在上海)最常见的,形成的火烧云也是最典型和最壮观的。
假设一种二维简单的单层云彩形成火烧云的模型:只有单层高度均匀、边界清晰、静止不动的云层存在,云边界以外大气完全透明无遮挡,地形为平原或者海面,云层上下大气都较为干燥,没有遮挡的云。这就是比较典型的火烧云云况。这种假设是理想的,不过在现实生活中可以对应于一些单层的高积云霞光的情况。
图1.5 直接展示了火烧云的形成方式:阳光从云边界下方的空隙中照射到了云层的下方,照亮了云底从而形成了火烧云。

图 1.5 简单的火烧云模型
通过这种模型,我们可以计算出火烧云相关的数据。比如我们知道,当阳光紧贴地面和云边界擦过时,阳光深入的距离最大。通过勾股定理,我们很容易计算出上图中霞光深入的最大距离
(弧长)与地球半径
、云底高度
的关系。容易列出下表:
| 云底高度(km) | 霞光深入距离(km) |
|---|---|
| 2 | 319.23 |
| 3 | 390.95 |
| 6 | 552.78 |
| 8 | 638.21 |
表 1.3 精确计算的霞光深入距离
这种模型符合实际情况,但是不便于应用:对于地球自转导致的太阳角度改变,我们需要通过旋转阳光代表的直线才能表示;且地球以及云层都是弧形的,不方便计算。我们想要研究的问题不只是火烧云的距离,更是火烧云的时空分布。因此,我们舍弃了宇宙空间中的直角坐标系。不难发现,将半径
作为一个参数是一个好主意:这样的话,该参数可以在海拔高度相同时保持恒定,性质类似水平直线
。因此我们自然而然想到了极坐标。

图 1.6 笛卡尔坐标和极坐标
看起来使用极坐标系,事情变得更麻烦了,连直线方程里面都含有三角函数。但是我们可以做一个处理,让极坐标系用起来就行直角坐标一样方便。
在极坐标系中,坐标均使用
描述。首先,由于我们讨论的火烧云都在薄薄的对流层内,可以认为半径
是不变的。因此,我们可以用
代替极坐标系中的角度
。而后,我们在作图的时候,选择以直角坐标的方式绘制
坐标系,而不是以极坐标的方式,这样就会看起来像直角坐标系。最后,我们把坐标原点移到地标上来,使得海拔高度
,于是这张图就看起来比较方便了。


图 1.7 极坐标局部近似直角坐标系
很明显,所有海拔高度相同的面都会变成平面,包括地球表面以及平整的云层底部,弧形被强行拉直了。但这么做的代价也是明显的:图上相同长度不再代表现实中相同的长度,现实中的直线在图中也不再是直线,甚至图中的曲线之间的关系也不会像它看起来的那样。例如,图1.8中的两段红线实际不等长,且
;两段蓝线虽然等长但不平行,而是具有一个很小的夹角。


图 1.8 坐标近似偏差的图解
此外,现实中直线也将会变为曲线。图1.9 清晰地展现了这一点。


图 1.9 直线和坐标转换后的抛物线
那么如何在这个坐标下表示直线呢?首先假设直线与地表相切,并把切点作为原点。由于:


图 1.10
考虑到
比较小,展开并化简得到:

上式是最重要的式子,其他的看不懂都没事,但这个一定要知道。
的近似导致的相对误差接近于
,可以忽略。所以这里的结果就是,我们把图1.10中代表阳光的直线转化成了图1.11中的抛物线,形式如式上式所示。

图 1.11
接下来我们解释,为什么这种坐标表示能够把旋转变换为平移。当直线不与地表相切且发生旋转的时候,抛物线方程变为:

其中的
分别为直线与地表最接近的一点所在的水平距离(角度)以及海拔高度,如图1.12上面的图所示。


图 1.12 光线的旋转->平移
如果我们忽略掉一些~~不太能忽略的一阶~~误差并直接认为
,那么这个抛物线就完全可以由式(1)的抛物线平移得到,如图1.12下面的图所示:

考虑到对流层的厚度不超过
,相对于地球半径微不足道,因此可以认为这种忽略有点合理。
通过将三角函数简化为多项式、将旋转操作转化为平移操作,我们研究火烧云出现时间和空间的方法变得更加简单,火烧云的图解也更加清晰和简单。接下来,我们将会讨论火烧云的时空分布。
1.2.2 典型火烧云的时空分布
随着太阳高度角发生变化,太阳光线的角度也会动态变化,如图1.13所示。假设太阳在火烧云形成的时间段内方位角改变的较少,因此我们可以一直使用同一个大气截面。这个条件在中低纬度地区都是满足的,上海这里更不用说了。

图 1.13 太阳高度角变化时光线路径的变化
在同一时刻,阳光照射到的不仅仅是一个点,而是一个面
,如图1.14所示。


图 1.14 光照区域
那么这个区域
如何随时间而变化捏?这里我们以日落为例,朝霞/日出只需要把时间轴反过来就行了。设云边界对应地面位置为原点,原点日落时间设置为
,云底高度为
。注意在日落时,阳光将会逐渐远离本地,也就是说代表阳光的抛物线将会向右侧移动。
容易看出来,晚霞的远边界是受到地球的遮挡而形成的边界,晚霞的近边界则是受到云的遮挡而形成的边界(如图1.14)。因此,晚霞远边界的光线始终与地表相切,而晚霞近边界的光线始终经过云边界。根据这样的限制,我们可以写出晚霞远边界光线路径
和近边界光线路径
的表达式分别为:


其中的
被定义为日落的线速度,
为太阳高度角。带入云层高度限制
,则晚霞远边界与近边界分别为:

其中:


画出时空分布则如图1.15所示,可以称之为火烧云三角。


图 1.15 火烧云三角,这是个重要结论
图1.15下方的这个火烧云三角是一个可以直接用的重要结论。从这个时空分布里面,我们可以读出一些有用的关于火烧云的常识性信息:
- 平底的层状云云底的火烧云永远在日出前或者日落后出现。
- 云底高度越高,火烧云能够出现的范围越大。
- 一般来说,在最靠近云边界的地方,火烧云的持续时间最长;而远离云边界靠近内侧的地区,火烧云持续时间较短。
- 一般来说,晚霞火烧云最早会从云边界的最内侧开始烧,而后逐渐向外侧扩展,火烧云结束也是云边界最内侧首先结束,而后逐渐向外扩展;朝霞则是正好相反的时间顺序。
- 一般来说,越是远离云边界的地方,火烧云开始(结束)的时间和本地日落(日出)时间的时间差越大。
- 即使本地看不到日出日落方向云的边界,也是有可能看到火烧云的,但是这意味着云边界比较远。
另外,经过上文的介绍,想必大家有更好的计算表1.3中数据的方式:

这个式子的计算结果和表1.3的结果基本是一致的,几百千米的距离上只有几百米的差距,所以是很好用的。
| 云底高度(km) | 精确霞光深入距离(km) | 近似霞光深入距离(km) |
|---|---|---|
| 2 | 319.23 | 319.27 |
| 3 | 390.95 | 391.03 |
| 6 | 552.78 | 553.00 |
| 8 | 638.21 | 638.55 |
表 1.4 近似计算的精度一览
1.2.3 简单非典型火烧云时空分布
除去上述的单层薄层状云边界火烧云的模型外,其他情况都不算典型的。常见的简单不典型云况有两种:对流云火烧云以及云洞漏光火烧云。
对流云火烧云
对流云指的是积云和积雨云,夏季常见。假设大气中只有本地有孤立的对流云,没有其他的层状云(假设云砧还没有生长到很大的面积)。由于对流云的水平范围和垂直高度大致相当,在水平方向被强烈压缩的天气图上,基本相当于垂直的直线,因此在简化的模型中,我们直接用垂直的直线代表对流云。由于这种近似,对流云的火烧云不再考虑水平位置的空间分布,我们只会考虑垂直方向的火烧云时空分布。
对流云火烧云模型建立如图1.16所示,坐标原点
设置在对流云云底地面附近的位置,考虑日落晚霞的情况。朝霞的情况只需要将时间轴反过来即可。


图 1.16 对流云火烧云简化模型
其中
代表对流云的云顶高度,
代表对流云被地球阴影遮挡的高度,
代表对流云被阳光照亮的高度,且
。设原点日落时间设置为
,则
与
的表达式为:



其中
被定义为日落的线速度,
为太阳高度角。绘制出时空分布如图1.17所示。

图 1.17 对流云火烧云时空分布
从这里也可以得到一些常识性的认识:
- 对流云云顶高度越高,火烧云能够出现的时间越长。
云洞漏光火烧云
有的时候,云边界外侧大气不是透明的,而是有遮挡,这种时候情况就比较复杂了。对于各种遮挡云况来说,比较简单的一种就是单层薄云的云洞漏光。这种情况中,云还是单层的且没有厚度,但云边界外出现遮挡,遮挡的云高度和本地云高度一样。设云洞边界对应地面位置为原点,原点日落时间设置为
,云底高度为
。


图 1.18 光照区域
用与上文相同的方法,可以求晚霞远边界与近边界分别为:



其中
被定义为日落的线速度,
为太阳高度角。绘制出时空分布如图1.19所示。


图 1.19 云洞漏光火烧云时空分布
对于云洞漏光的火烧云来说,有以下这些结论:
- 云洞漏光的火烧云永远在本地日出前或者日落后出现。
- 对于云洞漏光来说,云洞大小和云底高度共同决定了全局范围内火烧云最长持续的时间,在相同条件下,云洞漏光火烧云的持续时间小于等于典型云况。
- 在云洞漏光的晚霞(朝霞)火烧云下,云洞范围越广,则云洞挡光起作用的时间越晚(早),对火烧云持续时间的影响越小。
1.2.4 火烧云的高度角
火烧云相对于本地观察者的位置决定了火烧云出现的高度角。因此,我们还需要知道本地观察者不同仰角的视线在上述坐标系内的表达。

图 1.20 视线的轨迹
按照图1.20中的符号定义,根据正弦定理,我们可以写出:

将上式展开后,保留到二次项,得到:

这里只保留到二次项是考虑到
。实际上,如果我们在这个函数的渐近线附近展开的话,高次项将会发挥很大作用,导致近似失败。不过对于各种卡门线以内的物体,这种近似是比较成立的。对于火烧云的情况来说,
最大也就是对流层的厚度,因此上式中第三项甚至也可以舍弃。于是得到:

这就是给定观察者视线高度角时,视线的高度随着距离变化的描述。根据粗略的验证,这个式子计算出来的高度在水平球面距离1000km以内、海拔高度100km以内时的误差不超过2%。
进一步地,当
时,有
(当然是弧度制角度),进一步简化计算到了口算级别。在已知目标的水平距离(球面距离)的情况下,我们很容易根据目标的高度角或者海拔高度中的任意一个参数来计算另一个参数。
举个例子:

图 1.21 2022年9月25日 北京时间16:40的风云四号可见光卫星云图,截图来自于风云四号卫星天气应用平台
如图1.21所示。假设我们位于青岛市,沿着日落方向的云边界距离本地200km,云底高度为9200m。那么沿着日落方向的云边界高度角是多少呢?我们知道:

带入
,得到
,即
。也就是说日落方向的云边界在1.74°的天空,非常低。
这个简单的近似其实也有明确的物理意义。式中
代表由于视线仰角导致的海拔高度的变化,而
代表由于地球曲率导致的海拔高度变化。
1.3 光谱和消光
1.3.1 光学厚度和消光系数
火烧云之所以会有鲜艳的颜色,很大程度是因为照射到云上的阳光经过了大气散射,光的波长被筛选掉了一部分,颜色的饱和度变高了。为了描述这种效果,我们需要引入光学厚度和消光系数的概念。

图 1.22 消光介质模型
我们假设单波长平行光线以垂直与长方体的一个面的方式照射进入某种长方体介质中,介质沿着光线传播方向的长度(厚度)为
,如图1.22所示。入射的光线强度为
,在经过了介质内对光的吸收和散射等衰减后,沿着原入射传播方向上的光线强度衰减为
。那么在这个模型中,介质的光学厚度(Optical Depth, OD)定义为:

假设介质是均匀的,那么光线在介质内传播时,其沿着传播方向上强度的衰减符合指数衰减的规律:

这里的
反映的就是均匀介质的消光系数(Extinction Coefficient)。而光学厚度通过消光系数表示为:

大部分情况下介质不是均匀的,所以上式被改写为:

其中,光学厚度为:

我们可以不太在乎这个积分,但需要关注到的是光学厚度和消光系数之间的关系。它们之间的关系有点类似质量和密度之间的关系:密度在空间中累加得到质量,而消光系数在空间中累加会得到光学厚度。光学厚度反映的是整个介质层对光线的衰减作用,表示的是光线衰减的总的比例,而消光系数则反映介质对光线衰减的强度有多大。
消光系数的这种特点似乎让我们想到一个气象参数:能见度(Visibility)。实际上,一个根据消光系数计算能见度的经验公式就是这么定义的:

其中
指的是 550nm 光的大气消光系数。这个式子的物理意义是:当550nm的光线在当前浑浊程度的大气中穿过多少距离时,其传播方向上的强度会下降到初始强度的2%。这就是为什么我们只需要测量大气消光系数就能测量出能见度,而不需要真的看到一个几十千米以外的地标才行。不过通过消光系数定义的能见度和实际的肉眼观测能见度不一定符合,因为有时候远处物体不可见不仅仅是因为其发出的光被消光了,也可能是因为大气散射光太强了,把它发出的光掩盖了。
需要注意的是,这里的消光系数并不指明消光的原因,消光可能来源于散射,也可能来源于吸收。如果想要指明消光原因的话,需要分别说明为散射消光系数和吸收消光系数。
1.3.2 散射与吸收
这个问题非常非常复杂,我们只谈论最基本的东西。当光线照射到某种介质中的时候,由于介质不均匀的原因,部分光束偏离原来方向而分散传播,这就叫做散射。大气层中,对可见光来说,引发散射的介质可以是云、气溶胶、以及气体分子本身。当然不同的介质散射的效果是不一样的。

图 1.23 单粒子的散射
我们首先考虑单个粒子的散射。假设光照射到粒子上,则一部分光线会被粒子散射,散射的辐射功率为
,另一部分会被吸收,吸收的辐射功率为
。这些散射光的总功率
与入射光线强度
的比值被定义为粒子的散射截面:

类似地,吸收截面
定义为:

而散射效率被定义为散射截面
与粒子几何截面
的比值:

这个散射效率与粒子的半径和波长有关,尤其是粒子半径与波长之比
。如果没有吸收,只考虑粒子散射,通过求解复杂的方程,我们可以得出散射效率
与粒子半径比波长
的关系:

图 1.24 散射效率与
的关系,图片来源于网络,很多地方都引用了这张图,不知道谁是第一个
当
时,散射效率与
有对数上线性的关系,也就是说散射效率是
的幂函数,我们现在都知道这一段属于瑞利散射。但当
时,这种关系就不成立了,而是转为复杂的不单调的关系,这一段被称为米散射。随着
的增加,散射效率最终逐渐收敛到1,基本摆脱了散射效率的波长相关性或散射粒子半径的相关性。
由于可见光的波长在380nm~780nm之间,我们可以容易算出:大气中的可见光瑞利散射主要是气体分子贡献的,大气中的米散射则是由云和气溶胶贡献的。
单个粒子的散射与吸收,和粒子集群的散射与吸收性质有什么关系呢?如果我们只考虑入射平行光方向的光线强度,那么消光系数
和单个粒子的散射截面
、吸收截面
、以及粒子的体积数量浓度
关系为(假设每个粒子的散射截面、吸收截面都一样):

也就是说,单位体积内散射截面和吸收截面之和越大,则粒子集群的散射消光系数越大,两者是正比例的关系。也就是说,对于某种大小相同的粒子,对于某一波长的光来说,粒子数量越多,粒子集群的消光系数越大,粒子集群看起来越不透明。
瑞利散射
大气瑞利散射来自于大气分子的散射以及大气分子密度涨落引起的散射。根据瑞利散射方程,可以计算得到大气瑞利散射的强度,即瑞利散射的消光系数
是入射光波长
以及大气密度
的函数:

其中
为大气密度相对与标准海平面大气密度的比值,而
,其中
是标准海平面大气的分子数密度,
是海平面空气的折射率。我们很容易计算出,海平面高度的大气由于瑞利散射,对550nm的可见光消光系数大约为
,能见度为326km。
参与瑞利散射的结构大小都非常小,远小于可见光波长,就算这些结构大小有不同,它们都共享有相同的消光系数波长依赖性
,从外表上看就没有区别了。
这一部分内容参考了:
米散射
我们没法写出米散射消光系数的波长精确关系。如果粒子大小是单一的,也许还能写出复杂的表达式,但大气中发生米散射的粒子大小分布多样性大,所以写不出来精确的关系。大气中的米散射主要来源于气溶胶以及云,两者的散射特点非常不同。
气溶胶
典型的城市气溶胶尺度分布见图1.25所示。

图 1.25 气溶胶尺度分布,来自于百度上搜到一个教学PPT
占据截面积主要贡献的气溶胶的直径在0.06um~0.3um之间。考虑到可见光的范围在380nm~780nm之间,对应的
将落在0.038~0.395之间,对应到图1.2.3.2中则位于瑞利散射区和米散射区的前半段。
显然,对于单个气溶胶粒子来说,可见光波段内散射效率的波长相关性可正可负,甚至可以不单调。当我们描述气溶胶粒子的集群的时候,我们需要将不同尺度的气溶胶粒子散射效果相加和,才能得到总的气溶胶消光系数的波长相关性。如果气溶胶的直径都相对于可见光波长非常小,都共享有相同的散射效率波长依赖性
,那么气溶胶集群的消光系数也会有这个波长依赖性;而如果气溶胶的直径相对于可见光波长非常大,每个气溶胶颗粒的散射效率都和波长无关,那么气溶胶集群的消光系数也和波长无关。实际上的气溶胶尺度分布使得情况介于上述两个极端之间,使得气溶胶消光系数有波长依赖性,但不是
。根据一项来自欧美国家的实地测量实验,大气消光系数的波长依赖性可以在
之间变动,其中最弱的波长依赖性出现在浓重的雾霾天气下。如果要取一个典型的数字的话,可以取
。
地面附近的气溶胶消光系数浮动巨大,有些时候可以低至和大气散射同一数量级,但重污染天气下也可能会大于
,上海这里一般在
量级。
水云
水云的典型云滴谱则如图1.26所示。

图 1.26 云滴谱,来自于百度百科的《云降水物理学》里面的配图
典型的云滴大小半径为10um,不仅相对于气溶胶来说大了很多,且相对于可见光波长也大了10倍以上。这导致的结果是,典型的云滴直径相对于可见光波长非常大,每个云滴的散射效率都和波长无关,云滴集群的消光系数也和波长无关。这就是为什么当白光打在云上的时候,我们看到的云是白的,而不是其他颜色的。
云的散射消光系数经验上和云的含水量有关,也和云滴谱的参数有关。含水量越大,云滴密度越大,则云消光越强。一般来说,云的散射都是很强的,除了含水量很低的轻雾或者薄的卷云。例如对于含水量
的暖云(雾)来说,散射消光系数可以超过
。在云的含水量相同的时候,一般云滴越小,云的消光系数越大。
吸收
一般做火烧云预测不需要考虑单独吸收,但我们这里为了全面还是提一下。
气溶胶除了散射辐射以外,本身也会吸收一部分辐射。颜色比较深的气溶胶吸收会很明显,比如黑炭。这些颜色比较深的气溶胶会明显吸收可见光,相对于一般的“霾”来说看起来就明显不一样。对于纯的黑炭,其吸收消光系数的波长依赖性也可以用
表示。但对其他类型的深色气溶胶就没有这种简单的关系了,这种关系可能会比较复杂。实际的气溶胶来源多样、时空分布复杂、组分比较复杂,气溶胶总体的吸收消光系数波长依赖性比较复杂,我不会。
大气气体本身也会吸收辐射从而改变光谱,像二氧化氮这样的有色气体会吸收太阳辐射。这里图1.27展示的是二氧化氮气体分子的吸收截面(294K)。

图 1.27 二氧化氮气体分子的吸收截面(294K),来自于 Vandaele, 199828. Vandaele , A. C. , Hermans , C. , Simon , P. C. , Carleer , M. , Cloin , R. , Fally , S. , Mérienne , M. F. , Jenouvirier , A. and Coquart , B. 1998. Measurements of the NO2 absorption cross-section from 42000 cm−1 to 10000 cm−1 (238–1000 nm) at 220 K and 294 K. J. Quant. Spectrosc. Radiat. Transfer, 59: 171–184. doi:10.1016/S0022-4073(97)00168-4V
二氧化氮的吸收截面显然和波长有关,而且主要吸收短波可见光,这也是为什么二氧化氮气体看起来是红棕色的。但考虑到一般大气中二氧化氮浓度较低,空气质量良的上限二氧化氮浓度只有
,即使在吸收截面最大的波长,导致的消光系数只有
,相对于气溶胶消光来说低。而且二氧化氮只分布在地面附近,这里一般也是气溶胶消光的主场,二氧化氮的影响只是次要的。
除去二氧化氮以外,臭氧也会轻微影响阳光的颜色。臭氧会轻微吸收600nm附近一定范围的光,导致阳光的颜色色调变冷一些(图1.28)。一般情况下,臭氧的浓度低,而且吸收截面也比较小,因此其吸收效应只有太阳角度很低的时候才会有所体现。当太阳光穿过的大气臭氧光学厚度比较大的时候,其吸收效果会很明显,而这需要阳光与臭氧层几乎相切才行,所以臭氧的吸收效果会明显的体现在高于平流层的物体上。例如:夜光云之所以呈现蓝色而不是红色,是因为臭氧吸收了长波光;月食的时候红月亮外层会包裹上一层绿松石蓝带,也是臭氧吸收的结果。

图 1.28 臭氧吸收截面,来自 Absorption cross-sections of ozone in the ultraviolet and visible spectral regions: Status report 2015, Journal of Molecular Spectroscopy, Volume 327, 2016, Pages 105-121
对于对流层的火烧云来说,臭氧的影响是次要的,会改变蓝天的散射光颜色。
1.3.3 气溶胶消光系数的垂直分布
在之前的章节1.1.1里提到过,气溶胶一般分布在地面附近,且平均而言浓度随着高度指数下降。由于这个原因,我们一般认为气溶胶在某一波长的消光系数也随着高度是指数衰减的,即:

其中,
指的是地面附近的气溶胶消光系数,
指的是气溶胶分布的高度衰减常数。
越大,则地面附近气溶胶越浓密;而
越大,则意味着气溶胶扩散到的高度越高。
然后我们来说气溶胶光学厚度。气溶胶光学厚度是一种光学厚度,指的是一束单一波长的光垂直入射大气中,由于气溶胶的散射和吸收导致的光学厚度。根据反常积分计算以及光学厚度和消光系数之间的关系,我们就能知道大气气溶胶光学厚度AOD为:

假设我们希望在某一高度,气溶胶消光系数下降到了
,那么我们根据这个公式可以计算出其对应的高度
为:

这会在后面用到。
1.3.4 火烧云的颜色
火烧云的颜色受到太多的因素影响了。首先是接收到的光谱就会有大量因素影响,包括:照射在云上的阳光的颜色、蓝天的散射光、云本身的阴影、地面的颜色等等。而光谱到RGB值也会有大量因素干扰,包括设备厂商、拍摄参数、色彩空间、照片后期处理等等。RGB到显示器上的颜色也和显示器的生产厂商、显示参数等有关。所以这个问题很难讨论。我们这里简化了一下,只讨论光谱,以及光谱转到sRGB色彩空间上的RGB数值(即使是这样,算出来的RGB也不是确定的,因为亮度归一化的方法不确定)。
首先是太阳光谱。由于太阳表面有接近6000℃的高温,且是致密的等离子体,因此太阳会发射出连续的光谱。假设太阳是黑体,那么黑体辐出度可以根据普朗克黑体辐射定律计算出来。

图 1.29 不同温度的黑体辐出度
一般认为太阳的表面温度在5500K左右,黑体辐出度峰值正好位于绿色光的波长,也正好对应于人眼比较敏感的波长。在可见光的380nm~780nm范围内,各个波长的阳光能量是比较均衡的,所以混合在一起的阳光看起来就是接近白色的。
而白色的阳光之所以在火烧云上出现鲜艳的颜色,是因为大气对波长选择性消光导致的。上文中,我们介绍了两种在火烧云形成中主要的大气消光的来源:大气分子瑞利散射和气溶胶的米散射。这两个因素都会较多吸收蓝色光而透过红色光,使得阳光变红。但是这两种消光的波长依赖性是不同的,所以消光效果也很不同。由于瑞利散射的波长依赖性强,它能够更好地过滤掉短波长的光,而保留长波长的阳光,使阳光的波长更加纯净;而气溶胶米散射则由于散射消光系数的波长依赖性弱,不能很好地过滤光的波长,使阳光的波长不纯净。两种散射对光谱的影响见图1.30,假设气溶胶消光系数的波长依赖性为
。

图 1.30 假设550nm光学厚度分别为1.0与3.0的情况下,瑞利散射(红线)与米散射(绿线)后太阳光谱(黑线)的变化
阳光的波长更加纯净导致的结果就是阳光的颜色更加鲜艳,阳光的波长更加不纯净导致的结果就是阳光的颜色饱和度更低。如果有关于色品图的基础知识的话,这个结论可以直接看出来。用电脑模拟得到的结果也是一样的:随着在550nm的散射光学厚度的增加,瑞利散射导致的阳光颜色变化和气溶胶米散射导致的阳光颜色变化分别如图1.31与图1.32所示。这里对颜色的亮度稍微调整,使得不同颜色的亮度不会差距过大,来模拟拍摄才做中的光圈、曝光时间等参数的调整。可以很明显地看出瑞利散射和米散射后阳光色彩鲜艳程度的区别。

图 1.31 瑞利散射后阳光的颜色随光学厚度(550nm)的变化

图 1.32 米散射后阳光的颜色随光学厚度(550nm)的变化,仔细看看感觉这个配色还挺高级
让两种散射的效果结合,效果如图1.33所示。这张图积雨云日落颜色 是一个展示了图1.33颜色色序的很好的现实案例。

图 1.33 瑞利散射+米散射
所以,形成壮观且颜色鲜艳的火烧云的一个重要条件就是:大气要足够干燥洁净,气溶胶要少一些,使得瑞利散射能够发挥主要作用,让阳光颜色变得鲜艳。而且这个气溶胶少要少在阳光传播路径上,光本地或者地面附近少是不够的。
由于我们已知大气的瑞利散射消光系数和大气米散射消光系数的垂直分布,我们可以计算出不同的光线沿着不同路径传播的光学厚度,只要按照光学厚度的积分形式计算一下就行了。但要是正经积分的话会比较复杂,还会出现基本初等函数写不出来的东西,所以直接给出结果。这里我们假设气溶胶消光系数的水平分布是均匀的,且随高度指数下降,并考虑以下几何模型和字母定义。

图 1.34 注意看
将光线底部的高度
作为纵坐标,云底高度
作为横坐标,计算该路径光线经历的消光得到光谱,转化为sRGB空间上的颜色,规整化亮度后绘制在图上,得到结果如下图。图中绿色虚线为设置
(550nm)时计算得到的
(
定义见章节1.3.3)。

图 1.35 晚霞比色卡,图中所有AOD与
都是对550nm而言的
除了计算可以得到的火烧云比色卡作为结论以外,还有一些定性的结论:
- 云底高度越高,火烧云可能的颜色变化越全面,从金黄色到橘红色都有;反之,若云底高度低,则火烧云颜色一般只能为橘红色(限定阳光从云下方照射形成火烧云);
- 云底高度一样的时候,云边界越远,形成的火烧云颜色越红;
- 低云不适合形成火烧云的原因,除了云底高度低导致火烧云范围狭窄以外,还有就是气溶胶消光。
1.4 看懂气象图表
看懂气象图表是很重要的,我们能够从中获取大量有用的信息进行火烧云预报。
1.4.1 斜温图
这一部分极其重要,学会看斜温图是预报火烧云的必备技术,至少需要学会从斜温图上读出哪些层次的大气有云,以及云的温度是多少;至于大气稳定度的部分,强烈建议学会。
除非是你很有经验的观云者,否则很难做到肉眼估计云层高度。云层高度对火烧云来说是极其重要的信息,它会影响火烧云的颜色、时间以及出现的范围,不知道云层高度是很麻烦的。在这种情况下,最好用的图表就是斜温图。虽然我们肉眼看不出云层高度,但当我们使用斜温图后,我们可以直接根据已有的气象台观测或者预报资料,获取大气的云的高度分布。当然斜温图的用处非常大,远不止是知道云垂直分布那么简单,但我们不需要搞什么龙卷风冰雹预报,所以只需要知道一点点东西。
首先我们随便搞到一张斜温图,它大概长这样(图1.36)。就算你查到的不一样,那也会和这张图长得很像。斜温图可以来源于实测,也可以来源于数值预报,用起来是一样的。这里的例子是实测。

图 1.36 实测斜温图,来自于University of Wyoming Atmospheric Science Radiosonde Archive (uwyo.edu)
实测是怎么得到的呢?每天北京时间早晨和晚上7:15的时候,气象台会释放探空气球,气球上绑了温度计、湿度计、气压计、GPS定位仪以及无线电发射器(当然还有电源)。这些气球会花费一个半小时的时间到达30km高的平流层中,随着气球破裂,完成一次测量过程。气球在上升的过程中,会不断传回测量得到的高度、气压、温度湿度、水平位置的信息,从而得到本地大气垂直方向上的状态。这些数据都会用来画在斜温图上。
斜温图怎么看呢?如果以前没见过的话,可能会感觉这张图看起来很复杂,怎么会有这么多线条。所以我们会一步步构建这张斜温图。
首先,我们画一个直角坐标系。在这个坐标系里面,横轴
代表温度,纵轴
代表高度。由于高度和气压一一对应,我们也可以把高度换成气压,反正一样的。对于坐标轴上的一个点
,它的两个坐标分别描述了其温度和高度两个属性。也就是说,在这样一个坐标轴上,任何一个点都能反映某一海拔高度的空气温度。
想要读出一个点的坐标,只要画出和坐标轴平行的直线,然后看和坐标轴的交点就行了。在直角坐标系中,我们只需要作横平竖直的两个直线,分别与x轴与y轴相交,交点
分别代表了温度和高度(见图1.37)。

图 1.37 直角坐标系
但出于让图表更好看的原因,我们把这个直角坐标系的纵轴
斜过来,变成了斜坐标系。那么怎么读斜坐标系上一个点的坐标呢?和直角坐标是一样的,也是画出和坐标轴平行的直线,然后看和
轴与
轴相交在哪里。因为我们只是把
轴斜过来了,所以只需要把原先直角坐标系中垂直的线变成斜线就行了(见图1.38)

图 1.38 斜坐标系
看完了上面的介绍,这里在斜温图上举个例子。如图1.39中,背景里面水平的灰色实线和倾斜的灰色实线分别代表横轴和纵轴的格点。点
代表的温度和高度(或者气压)是多少呢?

图 1.39 斜温图底图来自于 University of Wyoming Atmospheric Science Radiosonde Archive (uwyo.edu)
这里辅助线都做好了,可以直接读出来:温度略高于-20℃,高度为7629m,气压为400hPa。
在有了坐标轴以后,在我们就可以在坐标平面上绘制线条了。我们选取很多个大气中的海拔高度,分别测量这些高度的大气温度,就能够得到一系列点来表示大气温度的垂直分布。然后,我们把这些点连起来,就得到了温度层结曲线。如果我们测量的不是温度,而是露点温度,那么得到的就是露点温度曲线(Dew Point Temperature Profile,露点温度的介绍见章节1.1.1),反映了大气露点温度的垂直分布。这两个曲线如图1.40所示。

图 1.40 斜温图底图来自University of Wyoming Atmospheric Science Radiosonde Archive (uwyo.edu)
怎么样才能在图上看出来哪一层大气比较潮湿的呢?只需要看露点温度曲线与温度层结曲线有没有贴在一起就行了。如果这两根线贴在一起,意味着在这个高度上大气露点温度等于气温,意味着可能有云形成;如果这两根线离得很远,意味着在这个高度上大气露点温度和气温差得很多,意味着空气干燥。通过这种方法,我们可以判断云的高度、厚度以及温度。
看完了上面的介绍,这里在斜温图上举个例子。如图1.41,我们想知道有哪些云?云的高度又是多少?温度又是多少?

图 1.41 斜温图底图来自University of Wyoming Atmospheric Science Radiosonde Archive (uwyo.edu)
首先我们注意到斜温图上的大气温度的垂直分布和大气露点温度的垂直分布。在图中,有两个区域的温度和露点温度挨得很近,这两个地方代表着可能有云,我们用蓝色半透明矩形表示他们所在的高度范围。
先看下面一层云,它对应的高度是多少呢?我们注意到水平的等高线,沿着云的位置做水平直线(图1.41中的蓝色直线),看看和左侧坐标轴上指示高度的数字相交在哪里。这里的高度显示的是3146m(左侧下面的蓝色矩形框),也就是这层云的高度在3.1km左右。高度有了,温度是多少捏?也很简单。我们注意到倾斜的等温线,沿着云层的边缘做斜的平行于等温线的直线(图1.41中的红色直线),看看和下侧坐标轴上指示温度的数字相交在哪里就行了。这里可以看到云的温度4℃到11℃之间。
除了下面一层云,上面一层云的温度、高度也能读出来:云的温度在-57℃到-21℃之间,高度在8.5km到12.5km之间。
图1.39中,背景里面还有一些线条没有提到,那就是红色和蓝色的两组虚线。这两组虚线分别代表了干绝热线和湿绝热线。干绝热过程和湿绝热过程的描述在 章节1.3.2一些云物理常识 中有提及,所以最好不要跳着看。
我们在那里描述了什么是干/湿绝热温度直减率,而这里的两组虚线就是具体的干/湿绝热温度直减率曲线。当空气没有饱和的时候,空气在上升过程中,其温度变化将会按照干绝热线变化,也就是说从图上看,空气团将沿着干绝热线移动。对应的,当空气饱和的时候,空气在上升过程中,其温度变化将会按照湿绝热线变化,也就是说从图上看,空气团将沿着湿绝热线移动。
举个例子:图1.42中温度为
的两个气团分别为完全干燥的空气以及正好饱和的空气。当它们从高度
抬升到高度
的时候,温度怎么变化呢?

图1.42 斜温图底图来自University of Wyoming Atmospheric Science Radiosonde Archive (uwyo.edu)
根据刚才所说的方法,只要将
沿着干绝热线(红色)移动到达
、
沿着湿绝热线(蓝色)往上方移动到达
即可。
那么问题又来了,一团不是完全没有水汽的不饱和的湿空气,在抬升过程中,什么时候会饱和呢?很明显就是当空气温度等于空气露点温度的时候。但是,空气的露点温度不仅仅和空气中水蒸气的成分比例有关,还和气压有关:气压越低,空气的露点温度越低。为了描述这种现象,斜温图上有多了一组曲线:等比湿线,也就是图1.39中绿色的虚线。只要空气在上升的过程中,空气的水分没有凝结,空气的水汽成分比例没有变化,那么空气的露点温度就会按照等饱和比湿线移动。根据计算,空气每上升1km,保持水汽成分比例不变的话,由于气压的下降,露点温度下降1.2℃。
有了这个知识,我们就能把不饱和湿空气抬升过程中经历的三个阶段画在斜温图上了。如图1.43所示,假设起始时刻有一团空气的温度位于
点,其露点温度位于
,并且强行让空气不断抬升:
- 当空气上升的过程中,露点温度沿着绿色的等饱和比湿线变动,而温度沿着红色的干绝热曲线变化,直到两者在
相遇。 - 在露点温度等于温度后,空气饱和,水汽开始凝结,空气开始沿着湿绝热线移动。
- 在上升了很长的距离后,空气温度很低,水汽几乎耗尽,湿绝热线与干绝热线几乎“平行”。

图 1.43 斜温图底图来自University of Wyoming Atmospheric Science Radiosonde Archive (uwyo.edu)
通过上述的介绍,我们可以引入斜温图上第三个实线曲线:状态曲线。当地面附近的空气被不断抬升,经历上述的过程后,温度经历的变化曲线就是状态曲线。

图 1.44 斜温图底图来自University of Wyoming Atmospheric Science Radiosonde Archive (uwyo.edu)
有了这些知识,我们总算可以说明大气的稳定性和不稳定性。什么叫做不稳定的大气呢?当空气的位置受到了一个小的扰动,如果这个小的扰动自己会发展成大的扰动,那么可以说大气是不稳定的。当空气在受到小的扰动抬升了一小段距离,如果周围大气环境的空气温度比空气团内部温度低,那么被抬升的空气团会受到正的(向上的)浮力,从而加速上升,这就是不稳定的大气。在斜温图上看,状态曲线位于温度层结曲线右侧,意味着周围大气环境的空气温度比空气团内部温度低,也意味着大气不稳定,可能出现对流活动。图1.45展示了这种情况。状态曲线位于温度层结曲线右侧的大气厚度,就代表了对流活动发展的垂直高度,也就是对流云的高度。

图 1.45 斜温图底图来自University of Wyoming Atmospheric Science Radiosonde Archive (uwyo.edu)
反过来,什么叫做稳定的大气呢?当空气的位置受到了一个小的扰动,如果这个小的扰动自己不会发展成大的扰动,而且会被抑制,那么可以说大气是稳定的。当空气在受到小的扰动抬升了一小段距离,如果周围大气环境的空气温度比空气团内部温度高,那么被抬升的空气团会受到负的(向下的)浮力,从而减速上升,而后下沉,最终回到原位,这就是稳定的大气。在斜温图上看,状态曲线位于温度层结曲线左侧,意味着周围大气环境的空气温度比空气团内部温度高,也意味着大气稳定,可能抑制对流活动。图1.46展示了这种情况。

图 1.46 斜温图底图来自University of Wyoming Atmospheric Science Radiosonde Archive (uwyo.edu)
这里说的大气不稳定性只是大气中不稳定性中的一种,叫做条件不稳定,对于看火烧云预报来说到这就行了。
1.4.2 大气剖面图
大气剖面图结合了云的水平分布信息和垂直分布信息,让我们可以了解到云的三维分布。大气剖面图上能绘制的物理量很多很多,可以来做很多事情,但在火烧云预测的时候,我们在乎的是云的分布,因此感兴趣的物理量是相对湿度、温度和风。
大气剖面图的原理非常简单,就是相当于在大气层中切一刀,取一个截面,然后绘制各种物理量在这个截面上的分布。这类似于将多个沿着直线排列的斜温图画在一起,将一维的数据合并成了二维的数据。

图 1.47 大气截面的概念模型
一种大气剖面图如图1.48所示。

图 1.48 来自tropicalTidbits网站的大气截面图
这张图中横坐标为水平距离,纵坐标为海拔高度或气压。虽然物理量的绘制方式可以很随意,但一般来说会把相对湿度绘制为阴影部分,而把温度绘制为等值线。比如上面这张图,~~左~~右侧的标尺展示了不同的相对湿度的大气在图中有不同的颜色:相对湿度在65%以上标记为绿色的色调,相对数度90%以上会有深绿色色调,而相对湿度在50%以下则为土黄色色调。
1.4.3 卫星云图
云的水平分布对火烧云的形成有重要的影响。但具体是怎么分布的,只有看卫星云图才知道。在地面上看到的云只能代表局地的云分布信息,只用这个信息判断火烧云是否形成是不准的。有卫星云图后能获取全局的云分布信息。
可见光云图
可见光卫星云图就是可见光波段的卫星云图。可见光卫星云图和我们肉眼看到的景象是不完全一样的。一般彩色可见光云图是将个别可见光波段的成像对应到RGB色彩上得到的,而我们肉眼能看到的是连续的光谱,所以彩色可见光云图的色彩会失真。如果是单波长的黑白可见光云图那就无所谓色彩了。
不管云有多高或者多厚,只要云能够反射可见光,那么在可见光云图上都能看到。可见光云图会很契合我们视觉上看到的云:薄的透光的云在云图上也是半透明的,厚而密集的云在云图上也是白色的。视觉上的云的纹理也和可见光云图的一致。
可见光云图的好处是分辨率高,而且能看出云的立体感(有云影)。但问题是晚上看不到,而且没法直接看出云的高度和温度。

图 1.49 来自向日葵8号卫星可见光云图 2022/8/28 12:00 BJT
红外云图
红外波段的云图就是红外云图。当然,红外波段很宽,这里我们说的是10~14um的红外窗口内的波段,比如10.8um的长波红外线。这些长波红外窗口波段的辐射不会被大气中的水汽吸收,而且不受短波的太阳辐射影响,所以能展示地面和云发射出的红外线。红外云图最有用的地方是:它可以展示物体的温度,而且无所谓昼夜,这是可见光云图做不到的。
我们都知道,物体只要温度高于绝对零度,就会发出辐射。温度越高,发出的红外辐射越强。通过测量物体发出辐射的强度,我们可以反推温度。因为这个温度是根据红外线的亮度推断出来的而不是实际用温度计测量的,所以叫亮度温度。红外云图绘制的就是这个亮度温度图。
红外云图可以用于区分可见光上看不出区别的云的云顶高度。高温的云在红外云图上会比较不明显,而低温的云则会在红外云图上大大加强。比如说,可见光上能看出来的低云,可能红外云图上一点也看不出来;同样在可见光上不清晰的薄卷云,在红外云图上会变得更明显一些。有的时候,零下十几度高积云和十几度的海雾在可见光上看起来差不多,但红外云图上会差得很多,可以区分开来。

图 1.50 来自向日葵8号卫星的10.4um红外云图,画成彩色的而已 2022/10/20 13:10 BJT
需要注意的是,红外云图只能看到云顶的亮度温度,而且这个温度与实际云的温度不一定一样,有很多原因会导致误差:
- 云层太薄了,不能完全遮挡来自地面的红外辐射,云层顶部发射的红外线部分来自于地面,导致云顶温度被高估;
- 对于一些卷云来说,由于卷云的云顶边界过于模糊,云内向上发射的辐射来源不只是云顶,而是云顶下方很厚的一层云,导致测量得到的云顶温度高于真实云顶温度;
- 对于一些对流云来说,云顶高度变化大,而且考虑到卫星不是竖直向下拍摄的,可能测量的是云侧面的温度,所以会高估云顶温度;
- 云毕竟不是黑体,用黑体辐射算出来的亮度温度和实际的云温是不一样的,黑体辐射红外线的能力会比云更强。
1.4.4 雷达反射率因子图
气象雷达一般用于探测大气降水的分布,在火烧云预测中可用于判断对流云降水的遮挡情况,以及判断彩虹的概率。
雷达探测的基本原理大家应该都听说过。当雷达发射出波长为几厘米左右的微波后,遇到大气中的雨滴会发生瑞利散射,其中一些微波会发生后向散射回到雷达站,从而被接收器获得。通过计算微波往返的时间,我们就能够知道引发散射的目标的距离。这些被目标后向散射的雷达波被称为雷达回波。
然而,雷达回波的强度会和雷达发射或接收器具体参数、雷达波长、目标距离等与目标自己的性质无关的东西影响,这导致不同雷达得到的结果不能够横向对比。为了排除这些影响,人类用雷达回波的强度计算出了雷达反射率因子(Z)。该因子的物理意义是单位体积内降雨粒子(雨滴)直径六次方之和
,因此只与气象目标本身有关。由于雷达反射率因子的计算方式的特点,其数值高度决定于单位体积内大雨滴的数量,因为大雨滴会贡献大多数的雷达反射率因子。
需要注意的是,液态水和固态水折射率和吸收系数都不一样,对雷达波散射效率也不一样,而且固态降水粒子的形状也偏离球形,而且有些冰雹太大了不适用瑞利散射模型,所以对于固态的雪花和冰雹,它们的雷达反射率因子虽然也能测量计算到一个数值,但是不能准确反映上述物理意义。
在实际使用的过程中,为了不让数字后面或者前面有太多个0,雷达反射率因子一般还会取以10为底的对数再乘10,变成分贝数(dBZ),然后配上一个特别设计的色阶,绘制到我们常用的雷达图上,即:

图1.51中绘制的就是这个
。

图 1.51 来自上海知天气,南汇雷达站的雷达图
对于上海的暖季降水(雨或者冰雹)来说,雷达反射率因子和体感上的降雨强度对应关系大致如下:
| 雷达反射率因子(dBZ) | 体感雨强描述 |
|---|---|
| <5 | 很细微的毛毛雨或者只滴几滴雨 |
| 5-15 | 毛毛雨,或者零星小雨 |
| 15-25 | 非常密集的毛毛雨,或者淅淅沥沥的小雨 |
| 25-35 | 雨开始下得比较紧密,中雨的强度 |
| 35-45 | 比较吵的中到大雨 |
| 45-55 | 大雨或者暴雨,常见于各种雷暴天气 |
| 55-60 | 雨强很大的暴雨或者出现小冰雹 |
| 60-65 | 可能出现直径1-2cm左右的小冰雹 |
| 65-70 | 可能出现直径3-5cm左右的冰雹 |
| >70 | 可能出现直径超过5cm的大冰雹 |
表 1.51 雷达回波率因子与体感雨强的大致关系
除了了解雷达回波率的物理意义外,我们需要知道雷达是如何进行扫描的,因为这会影响雷达图的指示意义。我们能从公开场合获得的气象雷达图都是PPI(Plan Position Indicator)扫描/显示方式的。它的扫描方式是:雷达天线保持一定的仰角发射雷达波束,在360度的方位角上挨个扫描,得到二维一个图像。所以这在某种程度上也能算是个大气截面图,只不过截面是一个圆锥(如图1.52)。这种扫描方式意味着,在较远的距离上,雷达扫描的并不是地面附近的大气,而是距离地面可能有几千米高度的大气。

图 1.52 PPI扫描模式图解,来自:IDL读取及可视化新一代多普勒天气雷达(CINRAD/CC)数据 - GIS知乎-新一代GIS问答社区 (geoscene.cn)
在中国天气网上查找到的雷达图,一般是多个仰角(0.5°、1.5°、2.4°)(但现在不是了,而是更多角度的扫描组合,作者于2023年7月16日修改)扫描得到的雷达反射率因子取最大值合并形成的,而不是单独的一个仰角得到的结果。图1.51中的雷达扫描仰角是固定的只有一个,为0.5°。
需要注意的是,雷达图上有没有回波和地面时有没有降水这两件事是既非充分也非必要的。没有雷达回波也可能发生降水,有雷达回波也可能没有降水。没有雷达回波却发生降水的可能原因有:雷达波束高度太高,比产生降水的云还高,以至于探测不到云;雷达波束被地形遮挡;降水太弱等。而出现雷达回波却没有发生降水的可能原因有:降水没有落到地面就蒸发了;非降水的目标发生回波(比如大折射率梯度面上的湍流引发的散射、军事演习时播撒的箔条、各城市过新年放的镀金属膜气球、中积云和浓积云、沙尘暴、鸟、虫群、地面、海浪)等。
都是对550nm而言的